¿Cuál es el efecto del control partidista del gobierno sobre las políticas públicas en los estados mexicanos? ¿Bajo qué condiciones el partido del gobernador afecta la composición del gasto público subnacional? Una de las tareas cruciales del gobierno es decidir cómo distribuir el presupuesto entre diferentes áreas de política pública. Existen dos perspectivas acerca del comportamiento de los partidos en el gobierno que dan cuenta del gasto público. Una entiende que las decisiones de los partidos reflejan su orientación ideológica y la otra se enfoca en los factores estratégicos. Desde la perspectiva que enfatiza la ideología, los partidos en el gobierno aspiran a responder a las preferencias programáticas de sus votantes con respecto fundamentalmente —aunque no exclusivamente— a la redistribución del ingreso.1 El gasto público se explica por las diferencias programáticas entre los partidos. Los estudios en países desarrollados y en vías de desarrollo han mostrado que partidos con diferentes orientaciones ideológicas se distinguen por los temas que enfatizan en las campañas electorales, y cuando llegan al gobierno, por el tamaño del presupuesto público y la composición del gasto —unos priorizando el gasto en bienestar social y otros el gasto militar o en seguridad. La perspectiva estratégica destaca que los partidos no sólo buscan implementar un programa sino maximizar su rédito electoral. Una mayor competencia política empuja a los partidos hacia el centro ideológico en el diseño de las políticas públicas con la finalidad de conquistar más votantes y una mayor ventaja electoral los inclina a impulsar políticas más congruentes con su identidad ideológica.2

Los partidos mexicanos son ideológicos, pero la vasta y sólida investigación acerca del gasto público subnacional en México se ha concentrado en los incentivos de la competencia política y no ha explorado las consecuencias de los programas partidarios. México es un caso pertinente para analizar los efectos de la ideología del partido en el gobierno sobre las decisiones presupuestales subnacionales por tres razones.
Primero, es una Federación cuyos gobiernos estatales y locales tienen importantes responsabilidades de gasto y en la provisión de servicios esenciales para la ciudadanía. Segundo, como ya se mencionó, en México los partidos se distinguen ideológicamente entre sí y proponen programas de gobierno que son identificables por los votantes. De acuerdo con un importante estudio, en los principales partidos de la transición democrática en México, la religión, el secularismo y la protección social se superponen en una única dimensión política que distingue al Partido Acción Nacional (PAN), socialmente conservador y orientado al mercado, del Partido de la Revolución Democrática (PRD), socialmente progresista, orientado a la redistribución, y del PRI, que ocupa una posición intermedia.3 Además, el PAN tiene fuertes vínculos con sectores de la iglesia católica y los empresarios, el PRD los tiene con movimientos sociales urbano-populares y el PRI está compuesto por grupos de orientación promercado y prointervención del Estado en la economía. Tercero, durante las décadas posteriores a la transición democrática, en México se observó una notoria variación en los niveles de competencia política a nivel subnacional. Esta competencia electoral resultó, por una parte, en el acceso a las gubernaturas de los estados de políticos provenientes de partidos con orientaciones ideológicas variadas. Y por otra, dio lugar a la emergencia de gobiernos divididos y unificados en el control del Ejecutivo y el Congreso, por partes iguales a lo largo y ancho del país.
Dadas las orientaciones ideológicas de los partidos de la transición en México, si el control partidista del Ejecutivo y el Congreso tuviera un efecto sobre el gasto, podríamos esperar que los gobiernos controlados por el PAN inviertan más en obra pública orientada al desarrollo económico y gasten menos en salarios que financian empleo público; y que los gobiernos en manos del PRD implementen políticas más expansivas, orientadas a un mayor gasto en salarios. Sin embargo, dado que en los sistemas de separación de poderes entre Ejecutivo y Legislativo, donde el primero elabora la propuesta de presupuesto de ingresos y egresos y el segundo la revisa, modifica y aprueba, la capacidad del Ejecutivo para moldear el gasto de acuerdo con su programa ideológico dependerá del apoyo que tenga por parte de sus copartidarios en el Congreso.4
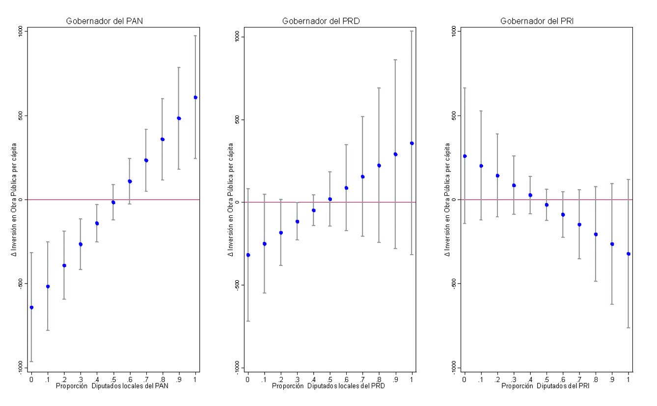
Las Figuras que siguen presentan análisis de las erogaciones anuales per cápita de los gobiernos estatales en México entre 1997 y 2017 en obra pública y empleo público.5 La Figura 1 presenta el cambio esperado en la inversión en obra pública per cápita cuando el gobernador pertenece al PAN (panel a), al PRD (panel b) o al PRI (panel c) respecto de los otros partidos para diferentes valores en la proporción de diputados oficialistas en el congreso local.6 Como esperábamos, en el caso de los estados gobernados por el PAN, observamos que bajo gobierno unificado, cuando la proporción de legisladores del partido del gobernador es igual o mayor que .5, la inversión en infraestructura es mayor que en los estados gobernados por otros partidos. Y a medida que la proporción de diputados oficialistas aumenta también lo hace, de manera significativa, la inversión en obra pública.7 En cambio, en los gobiernos del PRD o del PRI, la proporción de legisladores oficialistas no tiene consecuencias para la inversión en obra pública. El control del Ejecutivo y del Congreso se asocia a una mayor inversión en obra pública cuando el partido gobernante proviene del PAN, un partido de centro derecha.
Figura 1. Control partidario del Ejecutivo y del Congreso (PAN, PRD y PRI) e inversión subnacional anual per cápita en obra pública. México 1997-2017
La Figura 2 presenta los resultados del análisis para el gasto en salarios de los gobiernos subnacionales. Esta figura presenta el cambio esperado en el gasto en salarios per cápita cuando el gobernador pertenece al PAN (panel a), al PRD (panel b) y al PRI (panel c) para diferentes valores de la proporción de diputados locales oficialistas. Nuevamente, de acuerdo con las expectativas de la explicación del gasto basada en la ideología del partido gobernante, observamos que el tamaño de la delegación legislativa oficialista se asocia a un menor gasto en salarios bajo los gobiernos del PAN y que no tiene consecuencias para este tipo de gasto entre los gobernadores del PRI.8
Figura 2. Control partidario del Ejecutivo y del Congreso (PAN, PRD y PRI) y gasto subnacional anual per cápita en salarios. México 1997-2017
El análisis del gasto subnacional de los estados mexicanos entre 1997 y 2017 muestra que la ideología del partido en el gobierno tiene consecuencias para la inversión en obra pública y el gasto en salarios. El perfil del gasto subnacional, sin embargo, está moldeado no sólo por el partido en el Ejecutivo, sino también por la composición de la legislatura. La relación entre la ideología del partido en el gobierno y el gasto público subnacional está condicionada por el tamaño de la delegación legislativa oficialista. La mayoría en el congreso local afecta el comportamiento del partido en el Ejecutivo y le permite implementar un perfil de gasto más afín a las preferencias programáticas de sus votantes. Cuando el partido en el Ejecutivo estatal está acompañado de una mayor representación en el congreso local, el gasto refleja en mayor medida la ideología del gobierno.
La llegada de Morena a la Presidencia y a la mayoría de las gubernaturas plantea algunos desafíos al planteamiento hecho hasta aquí por la alineación partidista entre el gobierno federal y una mayoría de gobiernos estatales. La administración del presidente López Obrador impulsó desde el primer día la profundización de procesos de recentralización. Aunque estos procesos de recentralización se venían dando desde las administraciones de los presidentes Calderón y Peña Nieto, a partir de 2018 y sobre todo desde 2021, coinciden con la alineación partidista entre el gobierno federal y los gobiernos subnacionales emergencia de una mayoría de gubernaturas en manos de Morena. En este contexto, podemos preguntarnos por las consecuencias que la alineación partidista entre el gobierno federal y los gobiernos estatales tiene sobre la relevancia de las decisiones de los gobernadores sobre el gasto subnacional.
Alejandra Armesto
Facultad Latinoamericana de Ciencias Sociales, Sede México
1 Korpi, W. The Democratic Class Struggle, Routledge Kegan & Paul, Londres, 1983.
2 Downs, A. An economic theory of democracy, Harper Collins, New York, 1957.
3 Kitschelt, H., y otros. Latin American Party Systems (Cambridge Studies in Comparative Politics), Cambridge University Press, Cambridge, 2010.
4 En un trabajo académico abordo con más detalle este argumento, sus implicaciones y la evidencia empírica. Armesto, Alejandra “Control partidista del gobierno del estado y gasto público subnacional. Obra pública y empleo público en los estados mexicanos 1996-2015”, en Puente, K., y García, E. Los Congresos locales en México. Un estudio comparado sobre la representación política, FCPyS, UNAM e INE, Ciudad de México, 2021.
5 Los datos de gasto público provienen del Instituto Nacional de Geografía y Estadística (Inegi).
6 Los datos del control partidista de la gubernatura y del congreso estatal provienen de dos fuentes: a) Loza, N., y Méndez, I. “Base de datos calidad de las elecciones”, México, FLACSO/PNUD, 2012), y b) de los Institutos Electorales de los estados.
7 Los puntos azules sobre el eje horizontal representan la estimación puntual para el control del Ejecutivo por cada partido para diferentes valores de la proporción de legisladores oficialistas en el congreso y las líneas verticales describen el intervalo de confianza.
8 En el caso de los gobiernos del PRD, la proporción de legisladores oficialistas parece asociarse positivamente con el gasto en salarios per cápita. Sin embargo, la magnitud del error en la estimación no nos permite descartar que esta asociación no exista.

