Varios estudios muestran que contar con burocracias en el sentido weberiano tiene efectos positivos en temas como crecimiento económico, calidad regulatoria, corrupción, salud pública, entre otros.
En términos generales, una burocracia en el sentido weberiano se caracteriza por lo siguiente: los funcionarios se deben a los deberes de su cargo; están bajo una jerarquía administrativa rigurosa; las competencias se fijan estrictamente; poseen una calificación especializada que fundamenta su nombramiento, el cual se determina, en el caso más racional, por medio de examen o un diploma; ejercen su puesto como única o principal profesión; existe la posibilidad de desarrollar una carrera laboral con ascenso; hay una separación de los medios administrativos; y están sometidos a una disciplina y vigilancia administrativa. Además, como parte de una dominación racional, las actividades de la burocracia se sujetan a las normas, la división del trabajo y el uso de archivos.

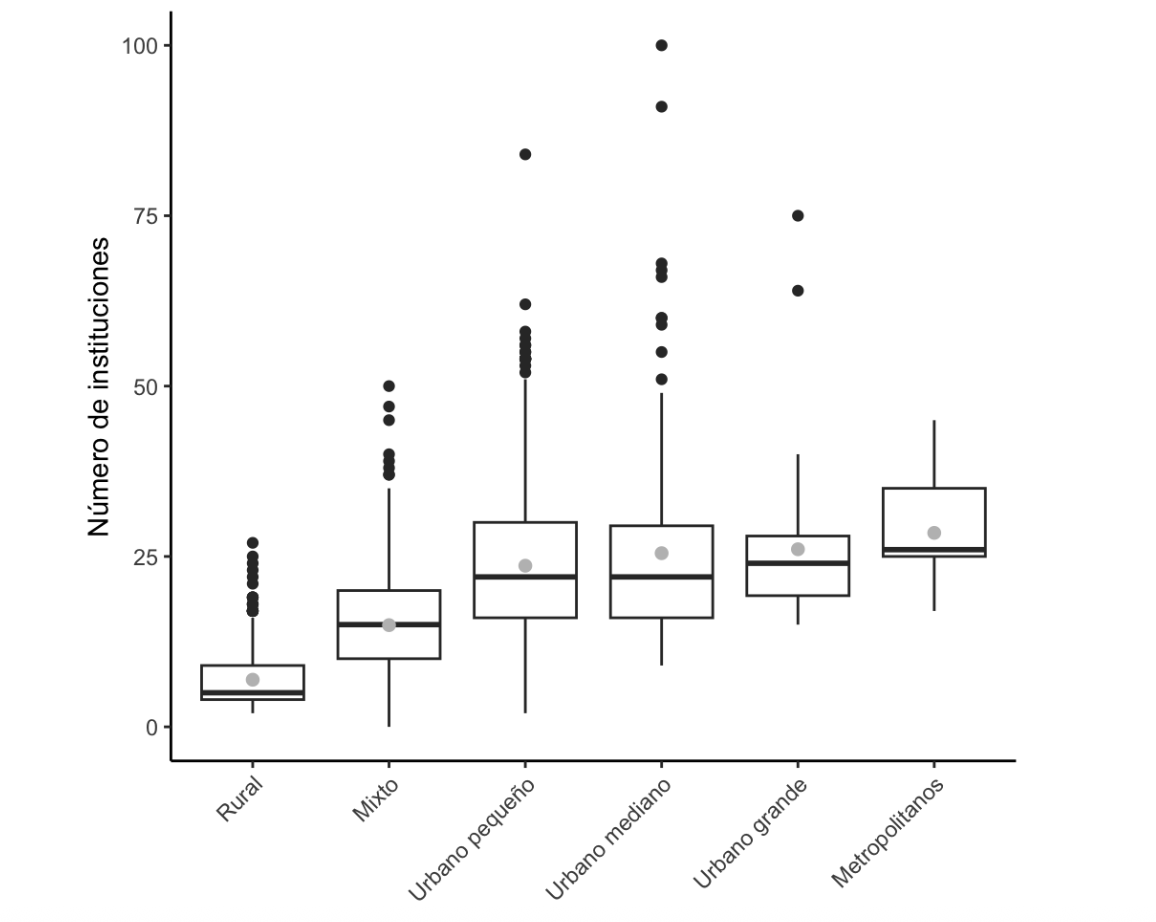
¿En qué medida los gobiernos municipales se aproximan al tipo burocrático weberiano? Aquí exponemos algunos elementos relacionados con el concepto de burocracia. La información proviene del Censo Nacional de Gobiernos Municipales y Demarcaciones Territoriales de la Ciudad de México 2023. La primera dimensión corresponde a la distribución de funciones, es decir, la existencia de diferentes áreas para las tareas respectivas del gobierno. Una mayor cantidad de áreas da cuenta de un mayor número de funciones, lo que también implicaría más especialización. Un indicador de esta dimensión es el número de instituciones que integran la administración pública municipal. En la gráfica 1 se observa que los municipios metropolitanos tienen el valor más alto, con 29 instituciones, con un mínimo de 17 y un máximo de 45. Le siguen las tres categorías de municipios urbanos con promedios alrededor de las 25 instituciones. En contraste, los municipios rurales tienen sólo 7 instituciones en promedio, con un mínimo de 2 y un máximo de 27. Entre ellos se ubican los mixtos, con 15 instituciones en promedio.
Gráfica 1. Distribución del número de instituciones por tipo de municipio

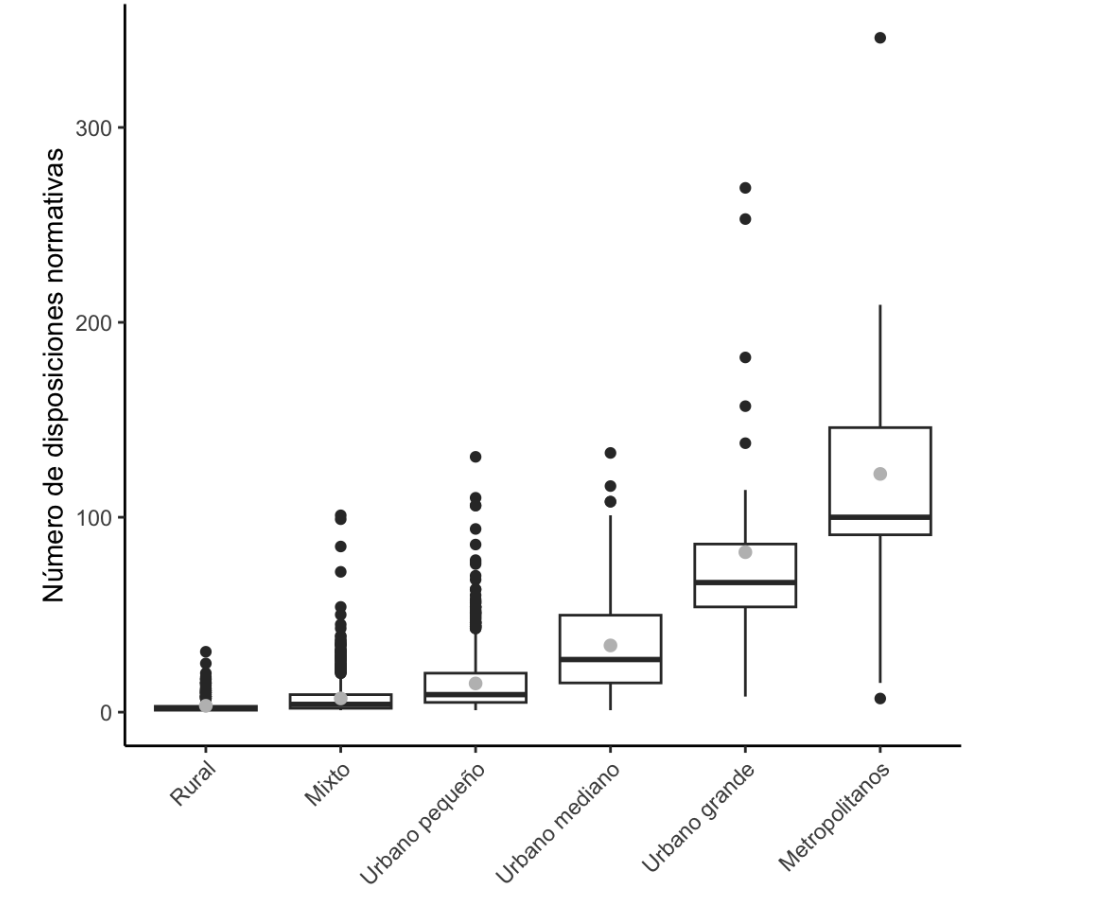
La segunda dimensión es la normatividad, ya que en una burocracia las actividades están sujetas a la ley o reglas respectivas, no a las personas. Una mayor reglamentación implicaría un menor margen para las decisiones discrecionales. Uno de los indicadores usados para esta dimensión es el número de disposiciones normativas. En la gráfica 2 se distingue que los municipios metropolitanos tienen el mayor promedio, con 122. Sin embargo, no hay que pasar por alto las diferencias al interior de este grupo: el 25 % inferior de la distribución cuenta con 91 normas o menos; mientras que el 25 % superior cuenta con 146 o más. En segundo lugar, se ubican los urbanos grandes, con 82 normas en promedio y cinco casos extremos con más de 100. En contraste, los municipios rurales poseen 3 normas en promedio, seguidos por los mixtos, con un promedio de 7. Considerando la desviación estándar, la mayor dispersión se encuentra en los municipios metropolitanos y urbanos grandes.
Gráfica 2. Distribución del número de disposiciones normativas por tipo de municipio

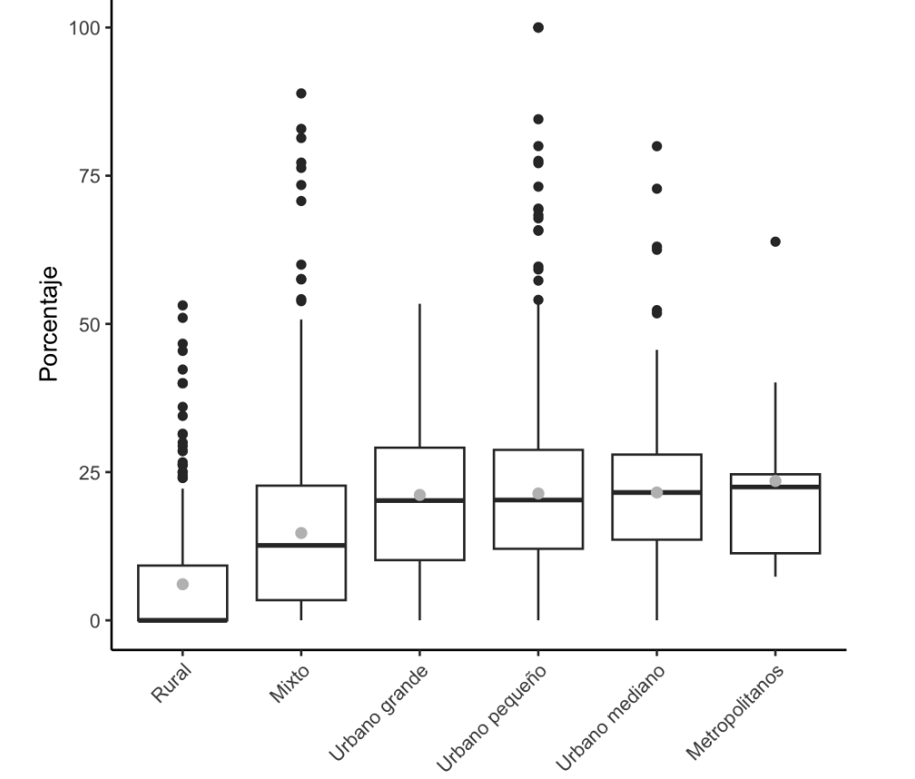
La tercera dimensión es la actividad especializada, es decir, el saber especializado, una de las principales características de una burocracia. Como se expuso, la especialización de los funcionarios se puede verificar por medio de exámenes (la lógica del servicio profesional de carrera), pero también por medio de la posesión de un título educativo. En términos generales, un funcionario con educación superior tiene más especialización que otro sin ella. ¿Qué porcentaje de los funcionarios cuentan con este nivel? En la gráfica 3 se muestra que en los municipios metropolitanos sólo 24% del personal cuenta con estudios superiores, es decir, sólo 1 de cada 4. El detalle de los datos no permite hacer un análisis según las áreas o funciones. Aún así, el dato es relevante. Por su lado, los urbanos medianos, pequeños y grandes presentan promedios muy cercanos: con 22, 21 y 21 %, respectivamente. En otras palabras, en estos tres tipos sólo 1 de cada 5 empleados tiene nivel superior. Los rurales de nueva cuenta registran las peores cifras: en promedio, sólo 6 % de su personal posee educación superior.
Gráfica 3. Distribución del porcentaje del personal con educación superior por tipo de municipio

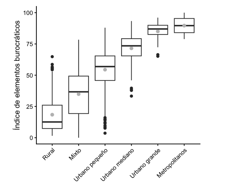
A partir de estos y otros indicadores, y con base en un Análisis de Componentes Principales, se elaboró el índice de elementos burocráticos. El índice toma valores entre 0 y 100: a mayor valor, más elementos burocráticos. Los datos se exponen en la gráfica 4. En concordancia con lo reportado previamente, los municipios rurales y mixtos son los más rezagados, con promedios de 18 y 35 puntos, respectivamente. En el lado opuesto, los municipios metropolitanos y urbanos grandes tienen puntajes de 90 y 85 puntos, respectivamente. La dispersión de estos dos grupos es mucho menor a la del resto.
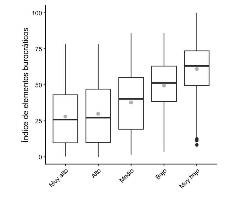
Al comparar a los municipios según los niveles de marginación, las diferencias persisten, aunque con menor distancia (gráfica 5). Los municipios con niveles de marginación muy alto y alto tienen promedios de 28 y 30 puntos, respectivamente. En contraste, aquellos con marginación muy baja y baja poseen los mayores promedios, con 61 y 50 puntos, respectivamente.
Gráfica 4. Distribución del índice de elementos burocráticos por tamaño poblacional del municipio

Gráfica 5. Distribución del índice de elementos burocráticos según nivel de marginación municipal

¿Qué implicaciones tienen estas diferencias? Para explorarlo, aquí se hizo una correlación con la recaudación de impuestos municipales per cápita. Cabe recordar que la información del índice corresponde al año 2022. Por lo tanto, se hace una correlación con la recaudación del mismo año y otra con los datos de 2023. En la gráfica 6 se presenta la dispersión entre el índice y la recaudación de impuestos para 2022. Es clara la relación positiva entre las variables: a medida que el índice aumenta, la recaudación también lo hace. El coeficiente de correlación es de 0.62. Con la recaudación de 2023 se mantiene la relación positiva (gráfica 7), con un coeficiente de 0.66.
Al calcular la correlación controlando por el índice de marginación municipal, la relación positiva persiste: el coeficiente es de 0.48 con la recaudación de 2022; y de 0.55 con la recaudación de 2023. Se trata de una primera exploración pero concuerda con los hallazgos de los estudios previos. En este sentido Evans y Rauch encontraron que los países con burocracias weberianas presentaron un crecimiento económico mayor. Posteriormente Cornell, Knutsen y Teorell confirmaron el efecto, aunque con menor magnitud.
Gráfica 6. Dispersión entre el índice de elementos burocráticos y la recaudación de impuestos (2022)

Gráfica 7. Dispersión entre el índice de elementos burocráticos y la recaudación de impuestos (2023)

Aún existen diferencias importantes entre los municipios en términos de los elementos burocráticos analizados. Llama la atención el rezago general del nivel educativo de los funcionarios. Esto quiere decir que están desempeñando sus funciones con un escaso conocimiento especializado, lo cual es paradójico debido a la complejidad de los problemas públicos que enfrentan. Cualquier reforma presente o futura no debe perder de vista las debilidades que persisten. Por otro lado, se observa que contar con más elementos burocráticos se asocia con una mayor recaudación de impuestos. Por lo tanto, si los municipios fortalecen sus aspectos burocráticos básicos, es posible generar otra serie de beneficios, como, tal vez, diseñar mejores políticas públicas.
José Said Sánchez Martínez
Profesor investigador de El Colegio de Jalisco
1 Cornell et al., «Bureaucracy and Growth»; Bersch et al., «State Capacity, Bureaucratic Politicization, and Corruption in the Brazilian State»; Nistotskaya y Cingolani, «Bureaucratic Structure, Regulatory Quality, and Entrepreneurship in a Comparative Perspective: Cross-Sectional and Panel Data Evidence»; Evans y Rauch, «Bureaucracy and Growth: A cross-national analysis of the effects of “Weberian” state structures on economic growth»; Boräng et al., «Cooking the books: Bureaucratic politicization and policy knowledge»; Cingolani et al., «Minding Weber More Than Ever? The Impacts of State Capacity and Bureaucratic Autonomy on Development Goals».
2 Weber, Economía y sociedad